91免费网址在线观看,91免费版看片,91免费观看色片,91免费视频网页版


深圳市91免费网址在线观看标准光源有限公司

TILO 经典传承,源自1998

111仪器信息网

全国统一客服热线:

400-888-5135
当前位置:主页>新闻中心>行业资讯

标准光源的色温是多少?如何计算标准光源的色温?

文章出处:www.qingdaoweisidun.com 人气:3134发表时间:2023-10-13

色温对于标准光源的重要性不言而喻,它是光源质量的重要评价标准。那么,标准光源的色温是多少?如何计算标准光源的色温呢?本文进行了简单总结。

 

标准光源


标准光源的色温是多少

标准照明体和标准光源是为使光辐射测量标准化而引入的概念。CIE规定的标准光源有A,B,C,D65,E光源。有了色温和相关色温的概念,表示光源的特性将非常方便。如:

A光源:色温为2845K,相当于白炽灯在2800K时辐射出的光。

B光源:相关色温为4800K,相当于中午直射的日光。

C光源:相关色温为6700K,相当于白天的自然光,它的蓝色成分较多。

D65光源:相关色温为6500K,相当于白天平均光照,近年来,常被用作彩色电视的标准光源。

E光源:又称为等能白光,即光谱功率分布值为常数,它是一种假想而实际并不存在的光源,采用它纯粹是为了简化色度学中的计算。

 

如何计算标准光源的色温

色温或相关色温的定义是某光源的色度坐标与绝对黑体辐射在某一温度下的色度一样,则这一温度称为某光源的色温。一般情况下,光源的色坐标在色度图上不一定准确地落在绝对黑体轨迹上,所以只能用光源与黑体轨迹最近的颜色来确定该光源的色温,称为相关色温。光源色温的经验公式为:

其中A=(x-0.329)/(y-0.187)。

色温在照明领域是一个非常重要的概念,也是评价光源色度特性的一个重要参数。色温的概念来自于黑体辐射,只有接近于黑体辐射的发光体讨论色温才有意义,对应一个具体的光源来说,它的色坐标位置只有接近色品图中的Planck轨迹,这时讨论色温才有意义,色品图中的Planck轨迹是不同色温的黑体辐射发光体所对应的色坐标在色品图上形成的一条曲线,人们把这条曲线称之为Planck轨迹,见下图所示。

 普朗克轨迹

在某一特定温度T下,黑体的光谱功率分布可由普朗克公式获得,即:


 普朗克公式


其中第一辐射c1=2πhc2=3.7418x10-16W·m2;

第二辐射常数c2=hc/k=1.4388×10-2m·K;k为波尔兹曼常数;c为光速。

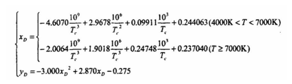
根据已知黑体的光谱功率分布公式,91免费网址在线观看可以求得色坐标与色温的关系表达式,当色温大于5000K时,CIE推荐用日光轨迹代替黑体轨迹,而日光轨迹的色品坐标为:

 

普朗克公式2


式中,xD的有效范围为0.250~0.380。


同类文章排行

最新资讯文章

QQ咨询

在线咨询真诚为您提供专业解答服务

咨询热线

400-888-5135
7*24小时服务热线

返回顶部
网站地图