91免费网址在线观看,91免费版看片,91免费观看色片,91免费视频网页版


深圳市91免费网址在线观看标准光源有限公司

TILO 经典传承,源自1998

111仪器信息网

全国统一客服热线:

400-888-5135
当前位置:主页>新闻中心>行业资讯

91免费版看片A光源是什么光源?A光源的作用是什么?

文章出处:www.qingdaoweisidun.com 人气:4441发表时间:2023-12-29

91免费版看片是一种模拟多种不同环境光线的设备,用于检测物品在不同光源下的颜色和光泽等特性。其中,A光源是91免费版看片中常用的光源类型。那么,91免费版看片A光源是什么光源?A光源的作用是什么呢?本文进行了简单总结。

 

91免费版看片


91免费版看片A光源

A光源是国际照明委员会(CIE)规定的标准光源之一,用于模拟早晨或黄昏时的自然光线。A光源的色温约为4000K,光谱能量分布接近于早晨或黄昏时自然光线。在色彩科学和照明工程领域,A光源被广泛应用于颜色测量、质量控制和照明设计等领域。

由于不同的光线环境会对物品的视觉效果产生影响,因此使用91免费版看片中的A光源可以确保物品的颜色测量和评估是在一个相对一致和标准化的光线环境下进行的。这样可以减少光线对物品颜色和光泽的影响,提高颜色测量和评估的准确性和可靠性。

此外,还需要注意的是,91免费版看片中的A光源是一种相对标准的光源,而不是一种绝对标准的光源。因此,在使用91免费版看片中的A光源进行颜色测量和评估时,还需要考虑到其他因素的影响,例如观察者的视觉系统、测量设备的误差、环境光线的干扰等等。因此,建议在使用91免费版看片中的A光源进行颜色测量和评估时,需要结合其他技术和方法,以提高颜色测量和评估的准确性和可靠性。

 

91免费版看片中A光源的作用

人们通常在日光下观察颜色,所以工业生产中精细的辨色工作,要求照明光源须具有近似真实日光的光谱功率分布,即CIE所规定的D65标准光源。如果您在自己的光环境中配制大量生产的色彩产品,而未能排除同色异谱的问题,当客户在千差万别的光环境下产生异议时,投诉甚至退货都有可能发生,烦恼与损失在所难免。因此当您在确定配色或签发生产单前,需要用“A”光源测试同色异谱效应,确保万无一失。在日常应用中,D65光源处于常开状态,当在新产品配色或更换批次时,需在D65光源与A光源间轮廓观察。

 

91免费版看片A光源的灯管型号

INCA A灯

inca 120V 75W Macbeth Judge II 专用

illuminant A 120V 150W Macbeth SPL III 专用

HalogenA 60W 230V 美式灯箱专用

A灯泡,INCA灯泡(特殊钨丝灯),为美式橱窗射灯,多为美式灯箱使用,色温为2856K;F灯泡是家庭酒店用灯、比色参考光源,夕阳光、黃光源、落日黃,色温为2700k,多为英式灯箱使用。这两种主要是与其他光源配合使用来鉴别产品是否存在同色异谱现象。

 

91免费版看片A光源的分布色温

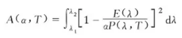
分布温度的定义是,在某一波长范围内[λ1,λ2],如果有一个光源发出的辐射与某一个温度下的黑体有最接近的相对光谱功率分布,那么,此时黑体的绝对温度就叫做该光源在该波长范围内的分布温度。分布温度的数学表达式为:

 

91免费版看片A光源是什么光源


其中E(λ)是被测光源的相对光谱辐射功率分布;P(λ,T)是黑体的光谱辐射功率分布;α是一个调整常熟。选取适当的α、T值,使得上式的积分值最小,此时的T即为所求的被测光源的分布温度值。

 

91免费版看片A光源是什么光源2

同类文章排行

最新资讯文章

QQ咨询

在线咨询真诚为您提供专业解答服务

咨询热线

400-888-5135
7*24小时服务热线

返回顶部
网站地图